種子凈度檢測的計算方法
來源: http://m.yz85.cn/ 類別:實用技術 更新時間:2012-06-07 閱讀次
【本資訊由中國糧油儀器網提供】
篩理后的試樣平鋪在種子凈度分析臺上,凈種子的分離也可借助于各種輔助儀器,如放大鏡、風選凈度儀、鑷子、雙倍目測鏡等進行逐粒觀察,取出試親友中所有的其他植物種或某些指定種的種子,并數出每個種的種子數。當發現有的種子不能準確確定為某一種時,可以以屬為單位。將試樣分為凈種子、其他植物種子和雜質。并將分離后的種類分別裝入相應的容器內 。由于其他植物種子和雜質一般比較輕、小,操作時不應把這些物質丟失,以免影響檢測分析結果。分離后,對各種成分都分別稱重 以克表示。
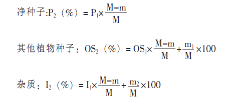
凈度檢測分析后的結果計算使用公式較多,主要為送驗樣品有重型混雜物時,最后凈度檢測分析結果應按如下公式計算:
式中:
M-送驗樣品的重量
m-重型混雜物的重量
m1-重型混雜物中的其他植物種子重量
m2-重型混雜物中的雜質重量
P1-除去重型混雜物后的凈種子重量百分率
I1-除去重型混雜物后的雜質重量百分率
OS1-除去重型混雜物后的其他植物種子重量百分率
【中國糧油儀器網】部分文章轉載自其它媒體,轉載目的在于傳遞更多信息,并不代表本網贊同其觀點和對其真實性負責,且不承擔此類作品侵權行為的直接責任及連帶責任。如其他媒體、網站或個人從本網下載使用,自負版權等法律責任。如涉及作品內容、版權和其它問題,請在30日內與本網聯系。
上一篇:面粉粗細度與面筋含量的關系
下一篇:測定糧食粘度的必要性

最近更新儀器
推薦儀器
相關新聞
熱門產品


